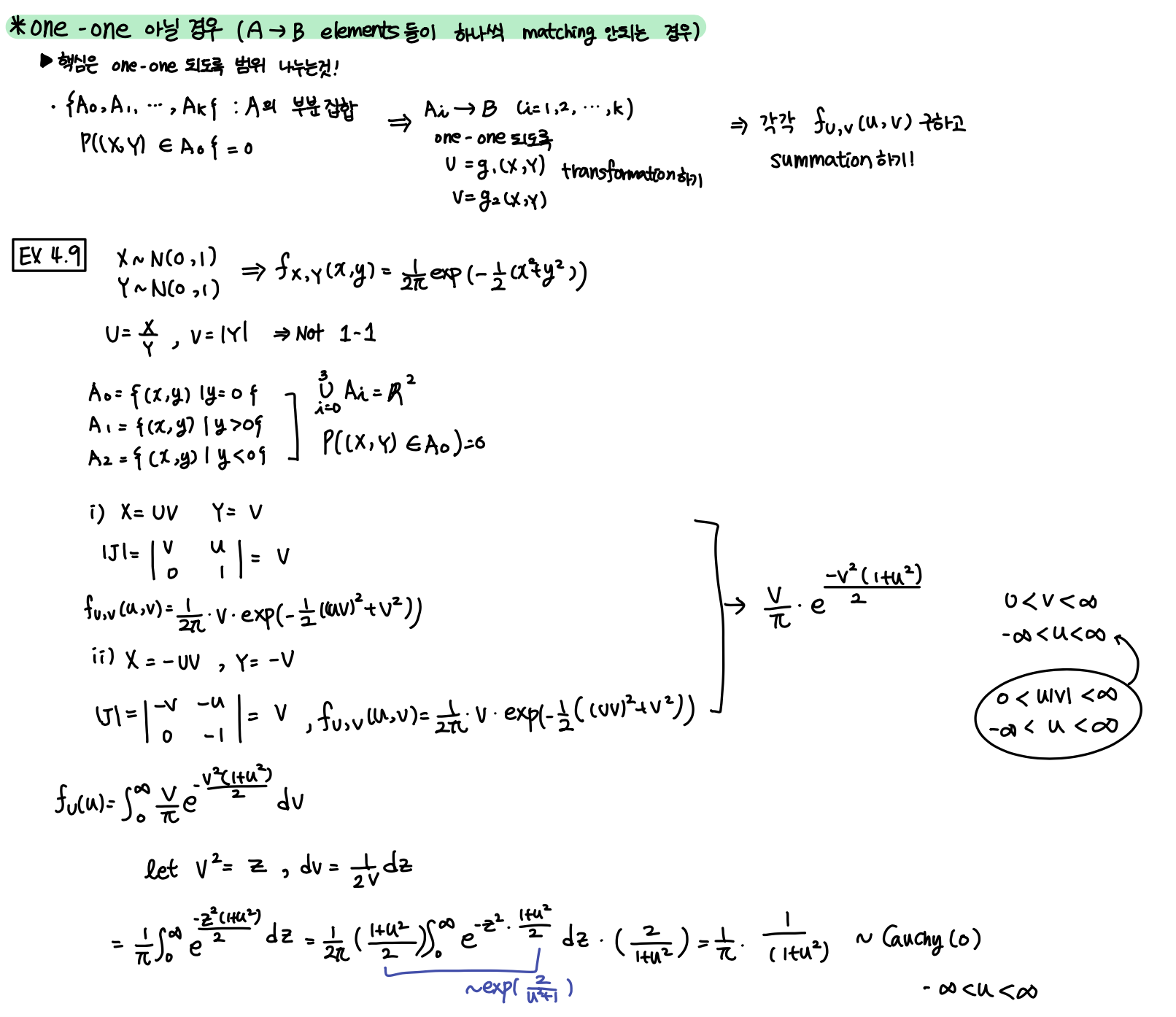
확률 변수 변환
- 기존 변수와 이 변수의 pdf를 활용하여 새로운 변수에 대한 function을 정의하는 것
- 각 분포의 pdf form 기억해둘 것
- 적분 공식들, 테일러 급수, 등비급수 공식 기억
1차원 - 1차원 변환





다차원 - 다차원



'Statistics > mathematical statistics' 카테고리의 다른 글
| [수리통계학] 통계 분포 총정리/ 분포 간 관계 / discrete distribution/ continous distribution (0) | 2022.05.17 |
|---|